
| 잉크 | 항목 | OEM | 프리즘 | 해외유수잉크 |
|---|---|---|---|---|
| Black 안료 잉크 | 안료 형태 | 순수 안료 | 순수 안료 | 변형 안료 |
| 분산 기술 | 독자 분산 | 독자 분산 | 분산액 구매 | |
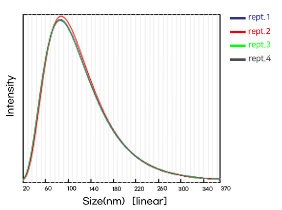
| 안료입자크기 | 100nm 이하 | 100nm 이하 | 120-150nm | |
| 침전여부 | ○ | ○ | △ | |
| 분산안정성 | 2년 이상 | 2년 이상 | 2년 이상 | |
| 인쇄밀도 | 1.50 이상 | 1.60 이상 | 1.50 이상 | |
| 공기중 노즐막힘 | 7일 | 10일 | 7일 | |
| 염료형 잉크 | 색 상(OEM대비) | ± 3.0 | ± 5.0 | |
| Bleeding(번짐) | ○ | ○ | △ | |
| 노즐막힘 | ○ | ○ | △ | |
| Jettability | ○ | ○ | ○ | |
| 고착성 | ○ | ○ | ○ |
| 항목 | 우수한 순수안료 잉크( PRISM社 ) | 일반적 순수안료 잉크( N社 ) | 변형안료 잉크( S社 ) |
|---|---|---|---|
| 입자크기 | 80-120nm | 100-200nm | 80-150nm |
| 안정성 | 1년 이상 | 3개월 이하 | 1년 이상 |
| 장점 | 좋은 색상 물과 빛에 강함 | 물과 빛에 강함 | 좋은 안정성 |
| 단점 | 높은 기술수준 요구 | 노즐막힘 색상 저하 | 물과 빛에 약함 |
| 비고 | ![]() |
![]() |
![]() |


